1
/
von
25
Unterrichtsmaterial Biologie
Glykolyse (122 MB)
Glykolyse (122 MB)
Normaler Preis
€10,00
Normaler Preis
Verkaufspreis
€10,00
Grundpreis
/
pro
inkl. MwSt.
Verfügbarkeit für Abholungen konnte nicht geladen werden
Die Einheit dient als Einstieg in chemische Vorgänge in der Zelle. Dazu wird der ganze einfach Energiebegriff erkärt.
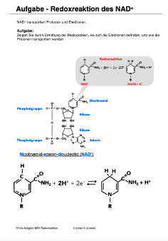
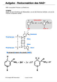
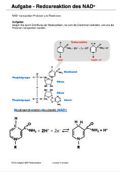
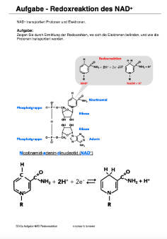
Redoxvorgänge in der Zelle werden durch einen kleinen Laster (NAD+) veranschaulicht, der Elektronen und Protonen von einem Reaktionsort zu anderen transportiert.

1. Lehrervorträge und Übungen:
LV „Was ist Energie?“
LV Übersicht Stoffwechsel
ATP als universelle Energiequelle
Übung „Wiederholung von Begriffen“
2. Lernpaket „NAD+ als Redoxpartner und Coenzym“
INFO „Basiswissen Chemie“
INFO „NAD+ als Coenzym“
INFO „NAD+/NADH+H+ - Oxidation und Reduktion“
AB „ NAD+ als Coenzym“
AB „ NAD+ molekularer Bau“
AB „Übung Oxidation und Reduktion“
AB „ NAD+ Redoxreaktion“
3. Anwendung „Die Glykolyse“
AB „Ablauf der Glykolyse“
AB „Regulation der Glykolyse“
29 Arbeitsmaterialien
5 - 8 Unterrichtsstunden
Share
